Fractional Parker equation for the transport of cosmic rays: steady-state solutions
Abstract
Context. The acceleration and transport of energetic particles in astrophysical plasmas can be described by the so-called Parker equation, which is a kinetic equation comprising diffusion terms both in coordinate space and in momentum space. In the past years, it has been found that energetic particle transport in space can be anomalous, for instance, superdiffusive rather than normal diffusive. This requires a revision of the basic transport equation for such circumstances.
Aims: Here, we extend the Parker equation to the case of anomalous diffusion by means of fractional derivatives that generalize the usual second-order spatial diffusion operator.
Methods: We introduce the left and right Caputo fractional derivatives in space. These derivatives are one of the tools used to describe anomalous transport. We consider the case of steady-state solutions upstream and downstream of a planar shock.
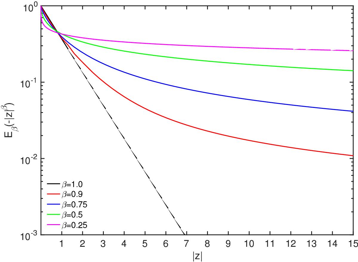
Results: We obtain an estimate of the particle acceleration time at shocks in the case of superdiffusion. An analytical solution of the steady-state fractional Parker equation is given by the Mittag-Leffler functions, which correspond to a power-law profile for the energetic particle intensity far upstream of the shock, in agreement with the results obtained from a probabilistic approach to superdiffusion. These functions also correspond to a stretched exponential close upstream of the shock.
Conclusions: These results can help to model more precisely the measured fluxes of energetic particles that are accelerated at both interplanetary shocks and supernova remnant shocks.
- Publication:
-
Astronomy and Astrophysics
- Pub Date:
- October 2017
- DOI:
- Bibcode:
- 2017A&A...607A...7Z
- Keywords:
-
- diffusion;
- acceleration of particles;
- shock waves;
- cosmic rays;
- methods: analytical;
- plasmas
